Pompanın Debisi (L/min):
5,6
Pompa Daimi Basıncı (bar):
210
Pompa Max.Hızı (rpm):
3000
Pompa Min.Hızı (rpm):
600
İşletme/Devreye Alma:
Dahil Değil
Elektrik Bağlantısı:
Yok
Kurulu Güç:
0
Ürün Ebatları (En/Boy/Yükseklik) (mm):
66,00/72,00/116,00
Ürün Ağırlığı (kg):
0,10
Nakliye/Kargo:
Dahil
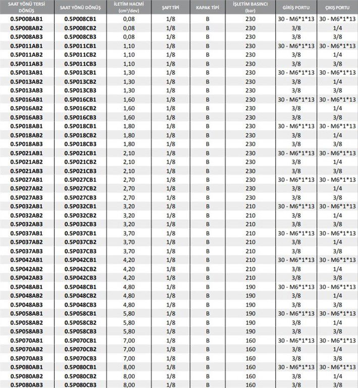
0.5 P Serisi Hidrolik Dişli Pompa Özellikleri:
• İletim hacmi aralığı 0.08 ile 8.0 cm³ /dev
• 230 bar'a kadar nominal çalışma basıncı
• Çoklu pompa dizaynı
• Alüminyum Gövde
• Yüksek verimlilik
• Sessiz pompa seçeneği
• Uzun ömür
| Doküman Adı | İşlemler |
|---|
Bu ürünü EFT/Havale ile satın alabilirsiniz.
Bu ürünü kredi kartı ile satın alabilirsiniz.


